
A cofired generator operates on a mixture of fossil fuel and biogas. In each time step, HOMER calculates the required output of the generator and the corresponding mass flow rates of fossil fuel and biogas. This calculation is based on several key assumptions:
1.The biogas substitution ratio (zgas) is a constant, independent of engine output power or fuel mixture.
2.The system always attempts to maximize the use of biogas and minimize the use of fossil fuel.
3.The fossil fraction cannot go below a certain minimum.
4.Even if the derating factor associated with operating in dual-fuel mode is less than 100%, the generator can produce up to 100% of its rated power, provided the fossil fraction is high enough.
The fuel curve of a cofired generator defines the fuel consumption of the generator in pure fossil mode. So, the fossil fuel consumption in pure fossil mode is given by the following equation. (See the table of nomenclature below for a definition of all the symbols.)
|
|
(1) |
And from assumption 1:
|
|
|
∴ |
|
(2) |
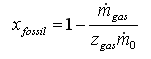
Where zgas is the biogas substitution ratio. Now from the definition of the fossil fraction:
|
|
(3) |
Using equations 2 and 3:
|
|
|
∴ |
|
(4) |
But for a given value of
Pbio, the value of xfossil
is unknown so the above equation is not enough on its own to solve for the biogas flow rate. From
assumption 2, we want to maximize
,
which means we want to minimize
xfossil. But from assumption 3:
|
|
where
is the minimum fossil
fraction required for ignition. So the target value for
corresponds to . Using equation
4:
|
|
(5) |
But there are two independent upper limits on
the actual value of
.
At the minimum fossil fraction, the output of the generator is limited to
,
defined as follows:

where τ, the derating factor, is less than or equal to 1.
This limitation can be implemented by imposing an upper limit on
corresponding to
and
. Using equations 1 and 4, this maximum
value can be defined as:
|
|
(6) |
This upper limit can be thought of as a physical limitation—the maximum rate at which
biogas can be ingested in the engine. The available biomass resource, agas, constitutes the other upper limit on
. So the actual value of
is
the minimum of
,
,
and agas:
|
|
(7) |
Knowing the value of
,
we can determine xfossil. Solving equation 4 for xfossil:
|
|
(8) |
And from equation 3:
|
|
(9) |
So at any time step, given particular values of Pbio and agas, the biogas flow rate and the fossil fuel flow rate can be calculated from equations 7 and 9, respectively.
Table of Nomenclature
|
Symbol |
Units |
Description |
|
ρfossil |
kg/L |
Density of fossil fuel |
|
τ |
% |
|
|
agas |
kg/hr |
Available biogas flow rate |
|
|
kg/hr |
Fossil fuel flow rate (in pure fossil mode) |
|
|
kg/hr |
Fossil fuel flow rate (in dual-fuel mode) |
|
|
kg/hr |
Biogas flow rate (in dual-fuel mode) |
|
|
kg/hr |
Maximum value of biogas flow rate |
|
|
kg/hr |
Target value of biogas flow rate |
|
xfossil |
% |
|
|
|
% |
|
|
zgas |
none |
Biogas substitution ratio |
|
F0 |
L/hr/kW |
|
|
F1 |
L/hr/kW |
|
|
Pgen |
kW |
Power output of the generator |
|
|
kW |
Maximum output of generator at minimum fossil fraction |
|
Ygen |
kW |
Rated capacity of the generator |