
|
Type: |
Input Variable |
|
Units: |
% |
|
Symbol: |
ηmp,STC |
The photovoltaic (PV) efficiency at standard test conditions is the efficiency with which the PV array converts sunlight into electricity at its maximum power point under standard test conditions. HOMER uses the efficiency to calculate the PV cell temperature.
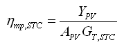
PV manufacturers rarely report this efficiency in their product brochures, but you can calculate it for any PV module using the following equation:

|
where: |
|
|
|
|
ηmp,STC |
= the efficiency of the PV module under standard test conditions [%] |
|
|
YPV |
= the rated power output of the PV module under standard test conditions [kW] |
|
|
APV |
= the surface area of the PV module [m2] |
|
|
GT,STC |
= the radiation at standard test conditions [1 kW/m2] |
In November 2007, we performed a non-exhaustive, non-scientific survey of the product brochures available for some of the commonly available PV modules. The following table contains the average values of the efficiency under standard test conditions for various types of PV modules in our survey.
|
PV Module Type |
Modules In Survey |
Average Value of Efficiency at STC [%] |
|
Polycrystalline silicon |
10 |
13.0 |
|
Monocrystalline silicon |
8 |
13.5 |
|
Monocrystalline/amorphous silicon hybrid |
1 |
16.4 |
|
Thin film amorphous silicon |
4 |
5.5 |
|
Thin film CIS |
1 |
8.2 |
Tip: HOMER assumes the PV array always operates at its maximum power point, as it does if it is controlled by a maximum power point tracker.
See also: