
To access the Wind Turbine library, select the Library icon
found on the upper right hand corner of the main window.
Choose the Wind Turbine tab as highlighted below.

You may select the View and Edit Wind Turbine Library to view or edit one of the default components or choose to create a new component using the Wind Turbine template.
Click View and Edit Wind Turbine Library to see the list of Wind Turbines in the HOMER Library. Click on the component from the list to view details. You may also create a new component by copying an existing entry and changing the specifications. See the Library section of the help for instructions.
The following tabs contain inputs that are common across Wind Turbine components.
|
Variable |
Description |
|
Name |
A unique name used to identify this type of wind turbine. |
|
Abbreviation |
A short, distinctive name to identify this wind turbine on the schematic and in the results. There is no specific limit on the abbreviation length, but long abbreviated names do not fit well on the schematic or results. |
|
Manufacturer |
An optional field used to specify the manufacturer of the wind turbine. |
|
Website |
An optional field to hold the website of the manufacturer. |
|
Url |
The actual web address of the link defined in the Website input. |
|
Notes |
An optional field used to specify manufacturer contact information, prices, or anything noteworthy. |
|
Electrical Bus |
The type of electricity produced by the wind turbine, either direct current (DC) or alternating current (AC). |
|
Rated power |
The nominal power output (nameplate capacity) of the turbine. For reference only. |
The power curve is the most important property of the wind turbine. It describes the amount of power the turbine produces for a given wind speed at hub height.
Under the Power Curve tab, enter as many points (Wind Speed and Power Output) on the power curve as you have available. HOMER uses linear interpolation to calculate the output of the wind turbine at intervening points. At wind speeds outside the range defined in the power curve, the turbine output is zero. HOMER assumes that the turbine shuts down for wind speeds slower than the minimum or faster than the maximum.
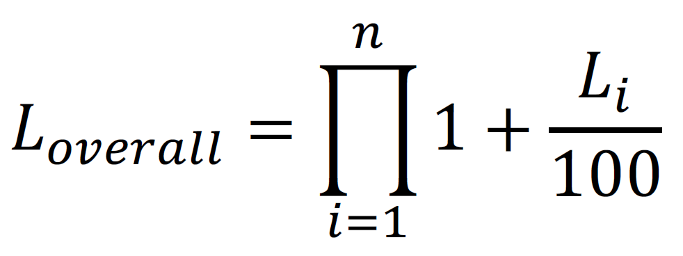
The Losses tab allows you to derate the turbine performance with several different factors. The "Overall loss factor" is calculated multiplicatively as in the following equation:

In this equation, each loss percentage is an Li , from L1 (availability losses) to L7 (other losses). The turbine power output is then scaled down by the resulting factor.
Under the Maintenance tab, check the "Consider maintenance schedule" box to include a maintenance schedule with the wind turbine model. You can enter a procedure in a row of the maintenance table to represent a scheduled maintenance event. For more instructions and important details, see the Maintenance subsection in the Wind Turbine section of the help.
See also