
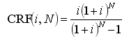
The capital recovery factor is a ratio used to calculate the present value of an annuity (a series of equal annual cash flows). The equation for the capital recovery factor is:

|
where: |
|
|
|
|
i |
|
|
|
N |
= number of years |
Example: For i = 7% and N = 5 years, the capital recovery factor is equal to 0.2439. A $1000 loan at 7% interest could therefore be paid back with five annual payments of $243.90. The present value of the five annual payments of $243.90 is $1000.
See also