
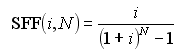
The sinking fund factor is a ratio used to calculate the future value of a series of equal annual cash flows. The equation for the sinking fund factor is:

| 
										 where:  | 
									
										 
  | 
								|
| 
										 
  | 
									
										 i  | 
									|
| 
										 
  | 
									
										 N  | 
									
										 = number of years  | 
								
For example, for i = 7% and N = 5 years, the sinking fund factor is equal to 0.1739. Therefore, five annual payments of $173.90 earning 7% interest are worth $1000.00 at the end of the fifth year.
See also